全球最大规模环境温度变化与急性主动脉夹层发病风险流行病学研究成果公布 中山医院王春生教授团队发现寒潮诱发主动脉夹层发病重要依据
来源:CHTV百姓健康频道2021-12-01 12:15:49
近日,复旦大学附属中山医院心外科王春生教授团队联合复旦大学公共卫生学院陈仁杰教授团队,开展了一项多中心病例交叉研究,分析了我国环境温度与相邻两天温度变化(TCN)对急性主动脉夹层(AAD)发病的影响及其时间滞后特征。研究结果以“Low ambient temperature and temperature drop between neighboring days and acute aortic dissection: a case-crossover study”(环境低温和温度骤降与急性主动脉夹层发病:一项病例-交叉研究)为题发表在国际心血管领域顶级期刊《European Heart Journal》,全文链接详见(https://academic.oup.com/eurheartj/advance-article/doi/10.1093/eurheartj/ehab803/6445127?login=true)。
AAD由主动脉壁内层撕裂和主动脉中层分离引起,是目前已知的最危险的心血管急症之一。即使近年来AAD的治疗取得较大进展,AAD的病死率仍居高不下。因此,识别潜在的AAD危险因素对于预防AAD发生尤为关键。由于临床实践中AAD通常具有冬季发病高的特点,因此研究者推测环境温度可能是重要的环境风险因素。既往气象因素与AAD关联性证据大多来自单一城市的病例描述性研究或生态学时间序列研究,因此因果推断效力不强。为了解决这一科学问题,本研究基于我国主动脉夹层登记数据库,采用个体水平上的时间分层病例交叉设计,应用条件logistic回归模型和分布滞后非线性模型,分析了患者家庭地址附近的环境温度与TCN对AAD发病的影响及其时间滞后模式。该研究纳入了我国七大地理分区中的14家大型三甲医院,依据一定的纳入和排除标准,一共分析了2009-2019年期间的8182例AAD确诊患者。
图1. 本研究主要结果示意图
如图1所示,较低的日平均温度和AAD风险呈现几乎线性的暴露反应关系。与参考温度(28°C)相比,极端低温[第1百分位数(缩略为P1), -10°C]时AAD发生的风险(比值比,OR)为2.84(95%CI: 1.69,4.75);当日平均温度小于24°C(P75)时,AAD风险具有统计学显著性;当日平均温度大于28°C时,未见AAD发生风险。TCN和AAD发生风险之间呈现反向的暴露反应关系,即负TCN(即当天平均温度较前一天下降)与AAD风险增加相关,而正TCN(即当天平均温度较前一天上升)与AAD风险降低相关。与参考TCN(P50, 0°C)相比,极端负TCN(P1, -7°C)和极端正TCN(P99, 5°C)时,AAD 发生的OR分别为2.66(95%CI: 1.76,4.02)和0.40(95%CI: 0.28,0.57)。
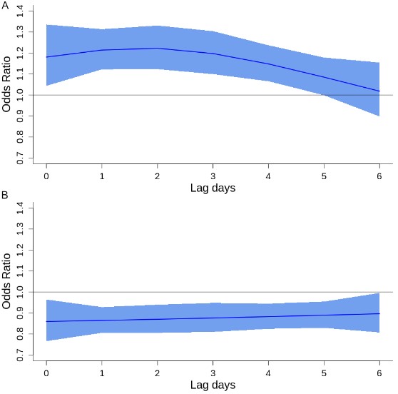
日均温度相关风险的时间滞后分布结果显示(图2),环境低温能显著增加当日(lag 0 d)的AAD发病风险,该效应在第2天(lag 1 d)明显降低,在第3天则进一步衰减到不具有统计学显著性。TCN相关风险的时间滞后分布结果显示(图3),当日比昨日降温(TCN为负)能显著增加当日(lag 0 d)的AAD发病风险;与此相反,升温(TCN为正)能显著降低当日的AAD发病风险;TCN的效应可持续六天。
图2.低温与AAD风险的时间滞后分布图
(A): P1, -10°C (B): P10, 1°C

图3.TCN与AAD风险的时间滞后分布图
(A): P1, -7°C (B): P99, 5°C
该研究是目前全球最大规模的环境温度变化与急性主动脉夹层发病风险的流行病学研究,采用了个体水平的时间分层病例交叉设计,可有效控制主要的混杂因素,从而为识别环境低温及气温骤降作为AAD发病的重要危险因素提供了强有力的流行病学证据。该研究结果有助于医生和潜在易感个体更好地管理AAD发病风险。当遇到寒冷天气或气温骤降时,易感个体可采取针对性的预防措施,如避免户外活动,加强保暖措施,及时使用空调,加强血压监测等。
复旦大学附属中山医院心外科陈金淼医师和复旦大学公共卫生学院2021级直博生高亚为该论文的共同第一作者,中山医院王春生教授和公共卫生学院陈仁杰教授为该论文的共同通讯作者。该研究由国家自然科学基金(92043301)、上海国际科技合作项目(21230780200)、上海市扬帆计划项目(20YF1405400)资助。

CHTV 百姓健康微信